Come to where the Capsaicin is.


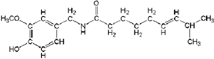
Capsaicin: the active compound (C18H27NO3) unique to hot peppers, that causes the sensation of heat — offering innumerable benefits for human vitality.
PepperWorks.Art exists to promote natural, and carefully crafted, Capsaicin-based therapeutics — that deliver (in edible and topical form), Capsaicin’s power — in support of human health and healing.
