
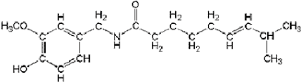
Researchers from around the world continue to discover and confirm the efficacy — and countless health benefits — of “capsaicin” (C18H27NO2), an organic compound found predominately in hot peppers.

Wise Pepper Therapy

Researchers from around the world continue to discover and confirm the efficacy — and countless health benefits — of “capsaicin” (C18H27NO2), an organic compound found predominately in hot peppers.

Leave a comment